您好!欢迎来到

重庆九龙坡泰康医院官网 咨询电话:023-65732559 急救电话:023-65733120

医院介绍
Hospital introduction

    重庆九龙坡泰康医院是卫生主管部门批准的一级非营利性综合医院,系重庆市职工医保、居民医保定点医院,九龙坡区城乡居民医疗救助定点医院。
    2008年11月与重庆市医疗急救中心签订协议,成为其技术(被)指导医院,并建立双向转诊关系。急救中心为我院提供专家坐诊、手术或专家查房以及远程会诊、远程影像(DR、CT)出具报告等技术指导,使我院诊疗技术日益提升,*终百姓受益。
 本院自1995年自诊所到综合门诊部到医院发展以来,一直秉承以医疗质量为核心、以患者康复为中心的建院方针,本着诚信、厚德、仁爱、严谨的服务宗旨,致力于打造百姓满意医院、树百年名院。
   本院坐落于中梁山西麓含谷镇,医疗环境整洁明亮,设备设施齐全先进。有职工60人,其中副主任医师1人,主治医师9人。医院建筑面积5300平米,设置床位90张,开设有全科、内科、外科、儿科、妇科、口腔科、急诊科、中医理疗科、医学检验科、医学影像科等一级科目。医院有CT、DR、电子胃镜、四维彩超、体外短波、碎石机、肺功能仪、全自动生化分析仪、电刀、电除颤仪、救护车、层流手术室等先进设备设施。各种诊疗价格LED屏上公示,公开透明而且低廉。
医院自创建28年来无任何医疗事故和较大纠纷,一直注重可持续发展,在本地区百姓中享有良好口碑。

白市驿痔疮哪家好

医师团队
The physician team

设备设施
Equipment and facilities

在线咨询 Online consulting

验证码:

本院动态
Hospital dynamic

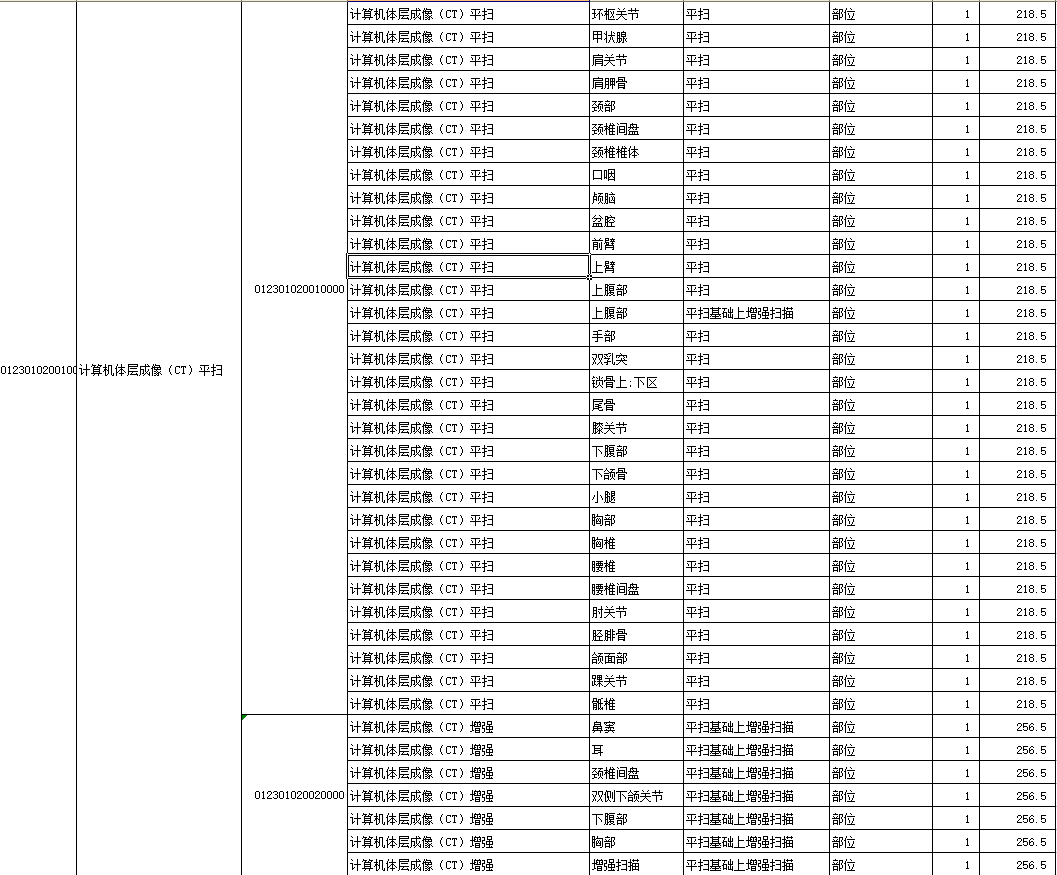
DR、CT价格公示    2025-08-25

image.png

image.png

image.png

查看更多
  • 泰康医院
  • 泰康医院
  • 泰康医院
  • 泰康医院
  • 泰康医院
  • 泰康医院
  • 泰康医院
  • 泰康医院